Are you looking for a free printable separation agreement Ontario template? Going through a separation is never easy, but having a clear agreement in place can help make the process smoother. Fortunately, there are resources available to help you create a separation agreement that meets your needs.
One option is to use a free printable separation agreement Ontario template. These templates provide a starting point for creating a legally binding agreement that outlines the terms of your separation. Whether you are divorcing or separating from a partner, having a written agreement can help protect your rights and ensure that both parties are on the same page.
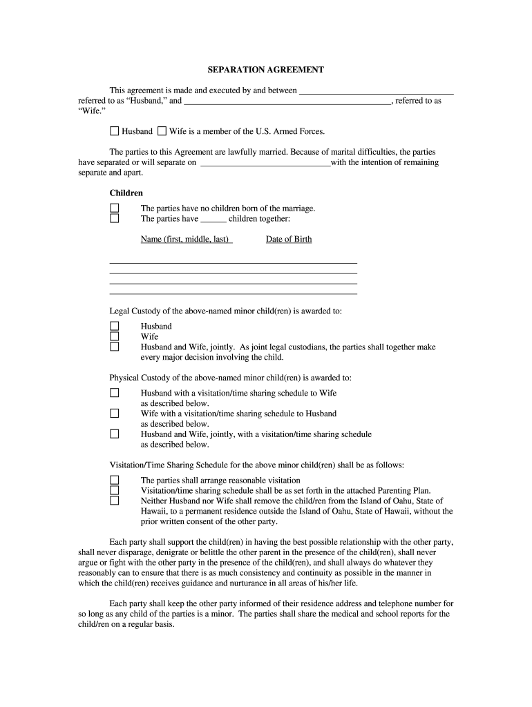
Free Printable Separation Agreement Ontario Template
Free Printable Separation Agreement Ontario Template
When using a free printable separation agreement Ontario template, it’s important to customize it to fit your specific situation. Make sure to include details such as child custody arrangements, division of assets, and spousal support. You may also want to consult with a lawyer to ensure that the agreement meets all legal requirements.
By using a template, you can save time and money compared to hiring a lawyer to draft a separation agreement from scratch. These templates are easily accessible online and can be downloaded and filled out at your convenience. Remember to carefully review the agreement before signing to avoid any misunderstandings down the line.
Overall, a free printable separation agreement Ontario template can be a valuable tool during a challenging time. By taking the time to create a clear and comprehensive agreement, you can help ensure a smoother transition as you navigate the process of separation or divorce.
43 Best Separation Agreement Templates amp Separation Papers
Free Separation Agreement Fill Out amp Sign Online DocHub

